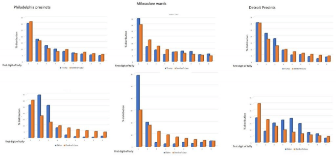
After the 2016 election Judicial Watch made an investigation of the California election. The Federal Government maintains a list of its citizens, the state governments don’t. Judicial watch made an investigation of the registered voters and found that eleven counties had more voters registered than the number of eligible voters. Here is a list of them:
County Vote Vote % eligible Clinton/
—————— Clinton Trump registered Trump
Los Angeles 1,893,770 620,285 144 3.05
San Diego 567,243 386,807 138 1.47
San Francisco 312,445 34,493 114 9.06
San Mateo 192,035 47,627 111 4.03
Solano 94,622 48,712 111 1.94
Yolo 34,460 13,178 110 2.61
Santa Cruz 85,185 20,158 109 4.23
Monterey 64,733 26,378 104 2.45
Stanislaus 73,939 72,960 102 1.01
Imperial 23,887 9,318 102 2.56
Lassen 2,224 7,574 102 0.29
11 Co. Total 3,344,543 1,287,490 2.60
Rest of Calif 2,514,062 1,391,229 1.81
All Calif. 5,858,605 2,678,719 2.19
This compilation is remarkable in so many ways.
California has 3.4 million resident aliens (green card holders and special visas). They are not eligible to vote. They also have about 3 million illegal aliens (obviously not eligible to vote)
California has motor voter registration. They issue driver’s licenses to, not only resident aliens but also to illegal aliens. All they have to do to be registered to vote is to check a box indicating they are eligible. No check for its validity is performed.
Los Angeles County is the capital of illegal aliens, so it comes as no surprise that since they now have driver’s licenses and thereby by extension are made eligible to vote, the ratio of 1.44 between registered voters and lawfully eligible voters comes as no surprise.
Silicon valley has more resident aliens than other areas of California, so it is no surprise they have registered voters exceeding eligible voters.
There is one small county located way up in North East California, Lassen County which voted heavily for Trump. It has only two major employers, two state prisons and one federal prison. Could Lassen County have registered ineligible felons?
This calls for a thorough investigation if the integrity of voting means anything.
The link to the letter from Judicial watch to CA, http://www.judicialwatch.org/document-archive/nvra-letter-ca-august-2017/
As far as I know nothing was done to remedy the situation.
California is no longer a growing state. The population may even be declining in 2020. See this chart:

So we would then expect the numbers for the 2020 election to be about the same
County 2020 Vote 020 Vote Increase Increase
—————— Biden Trump Biden Trump
Los Angeles 2,609,329 984,383 37.8% 58.7%
San Diego 933,468 577,573 64.6% 49.3%
San Francisco 373,186 55,347 19.4% 60.5%
San Mateo 225,185 54,456 17.2% 14.3%
Solano 124,752 65,558 31,8% 34.6%
Yolo 47,504 16,128 36,7% 22,4%
Santa Cruz 109,745 25,485 28.8% 26.4%
Monterey 93,874 34,893 45.0% 32.3%
Stanislaus 84,668 79,622 16.1% 8.1%
Imperial 34,430 20,577 44.1% 120.8%
Lassen 2,772 8,798 24.6% 16.2%
One more county is of interest, Orange Co. It used to be solidly Republican
2020 792,966 655,811 Total: 1,448,777 Advantage Biden 20.9%
2016 556,544 472,669 Total: 1,029,213 Advantage Clinton 17.8%
2012 457,077 541,092 Total: 998,169 Advantage Romney 18.4%
2008 518,925 557,370 Total: 1,076,295 Advantage McCain 7.4%